8. Signifikanz
Sie haben Ihre Daten nach Zusammenhängen untersucht und einen bestimmten Wert für r berechnet. Was bedeutet dieser Wert nun aber? Ist 0.82 ein "guter" Wert? Oder wäre 0.62 besser? Oder -0.42?
Um das zu entscheiden, müssen Sie zuerst in der Lage sein, die Signifikanz von r zu bestimmen.
Grundüberlegung:
Korrelationskoeffizienten werden üblicherweise nicht für eine Grundgesamtheit von Fällen berechnet, sondern nur für eine Stichprobe. Je grösser die Anzahl Fälle n der Stichprobe, umso näher kommt der berechnete Korrelationskoeffizient r dem "echten" Korrelationskoeffizienten (rho), der aber natürlich nicht bekannt ist.
Da eine Stichprobe nur begrenzt aussagekräftig ist stellt sich die Frage nach der Verlässlichkeit des von ihnen berechneten Korrelationskoeffizienten: beschreibt er die tatsächliche Korrelation zwischen den untersuchten Variablen in der Grundgesamtheit, oder muss man davon ausgehen, dass er zufällige Zusammenhänge einer Stichprobe aufzeigt?
Zur Beantwortung dieser Frage wird überprüft, ob der berechnete Korrelationskoeffizient signifikant ist, d.h. ob man die Null-Hypothese: „es besteht keine Korrelation“ im vorliegenden Fall verwerfen kann oder nicht.
Anmerkung:
Wir gehen von einem sog. einseitigen Test aus, d.h. uns interessiert nur das Risiko in einer Richtung (zu geringe Korrelation).
Vorgehen:
- Zunächst wird das sog. Signifikanzniveau festgelegt. Dabei handelt es sich um die Irrtumswahrscheinlichkeit, die man bei der Rückweisung der Null-Hypothese „keine Korrelation“ zu akzeptieren gewillt ist. Üblich sind 5%, 1%, 0.1% oder 0.01%. Bei einer kleinen Anzahl von Fällen n wird man z.B. 1% wählen. Die Prozentwerte werden üblicherweise als Wahrscheinlichkeiten p (Teile von 1) angegeben. 1% entspricht z.B. p=0.01.
-
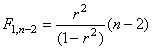
Danach wird mit der Teststatistik F die Varianz der Stichproben berechnet. Der F-Test ist definiert als:

Im Index von F stehen neben den Freiheitsgraden (degrees of freedom, df) der Variablen df1 (in unserem Fall 1) die Freiheitsgrade df2 der n-2 Fälle. Anhand der Freiheitsgrade kann in einer entsprechenden statistischen Tafel überprüft werden, welcher Wert von F erreicht werden muss, damit der zugehörige r-Wert bei der gewählten Irrtumswahrscheinlichkeit als Signifikant gelten kann.
Beispiel:
Bei 13 Freiheitsgraden (entspricht n=15) muss der F-Wert auf dem Signifikanzniveau von 1% (entspricht p=0.01) F=9.07 erreichen, damit die Null-Hypothese verworfen werden kann. Bei F-Werten, die kleiner als 9.07 sind, kann die Null-Hypothese nicht mit ausreichender Sicherheit verworfen werden. Man muss dann also davon ausgehen, dass zwischen den Variablen kein (signifikanter) Zusammenhang besteht.
Klicken Sie hier für einen Auszug aus der Tabelle mit F-Werten.